人工智能中CNN和RNN技术原理和区别?
admin
2023-10-15 08:57:29
0


人工智能中CNN和RNN技术原理和区别?


文章图片


人工智能中CNN和RNN技术原理和区别?


文章图片


人工智能中CNN和RNN技术原理和区别?


文章图片


人工智能中CNN和RNN技术原理和区别?


文章图片


卷积神经网络和递归神经网络如今在ML中普遍使用 。 但是 , 它们通常用于完全不同的用例 。

在机器学习中 , 每种类型的人工神经网络都针对特定任务量身定制 。 下面将介绍两种类型的神经网络:卷积神经网络(CNN)和递归神经网络(RNN) 。
CNN和RNN有什么区别?CNN和RNN之间的主要区别是处理时间信息或顺序出现的数据(例如句子)的能力 。 此外 , 卷积神经网络和递归神经网络用于完全不同的目的 , 并且神经网络本身的结构也存在差异 , 以适应那些不同的用例 。
CNN在卷积层内使用过滤器来转换数据 。 而RNN会重用序列中其他数据点的激活函数 , 以生成序列中的下一个输出 。
尽管这是一个经常问到的问题 , 但是一旦您查看了两个神经网络的结构并了解了它们的用途 , CNN和RNN之间的区别就会变得很明显 。
下面 , 让我们看一下CNN以及它们如何用于解释图像 。
什么是卷积神经网络?卷积神经网络是计算机视觉中用于识别图像中的对象和图案的最常见的神经网络之一 。 它们的定义特征之一是在卷积层中使用过滤器 。
卷积层CNN具有称为卷积层的独特层 , 可将它们与RNN和其他神经网络分开 。
【人工智能中CNN和RNN技术原理和区别?】
在卷积层中 , 输入先转换后再传递到下一层 。 CNN使用过滤器转换数据 。
卷积神经网络中的滤波器是什么?CNN中的过滤器只是一个随机数矩阵 , 如下图所示 。

过滤器中的行和列数可以变化 , 并且取决于用例和要处理的数据 。 在卷积层中 , 有许多过滤器在图像中移动 。 此过程称为卷积 。 滤镜对图像的像素进行卷积 , 在将数据传递到CNN的下一层之前更改其值 。
过滤器如何工作?为了了解过滤器如何转换数据 , 让我们看一下如何训练CNN来识别手写数字 。 以下是来自MNIST数据集的数字7的28 x 28像素图像的放大版本 。

从MNIST数据集中获取的图像
下面是将相同图像转换为其像素值的图像 。

当滤镜卷积通过图像时 , 滤镜中的值矩阵与图像的像素值对齐 , 并获得这些值的点积 。

滤镜在每个3 x 3像素矩阵中移动或“卷积” , 直到所有像素都被覆盖为止 。 然后 , 将每个计算的点积用作下一层的输入 。
最初 , 过滤器中的值是随机的 。 结果 , 第一次通过或卷积成为训练阶段 , 初始输出不是很有用 。 每次迭代后 , CNN会使用损失函数自动调整这些值 。 随着训练的进行 , CNN会不断调整滤波器 。 通过调整这些滤镜 , 可以区分图像的边缘 , 曲线 , 纹理以及更多的图案和特征 。
尽管这是一项了不起的壮举 , 但是为了实现损失功能 , 需要以标记的训练数据的形式为CNN提供正确输出的示例 。

当无法应用转移学习时 , 许多卷积神经网络都需要大量的标记数据 。
如果仍无法解决CNN问题 , 可以去看下Fast.ai上杰里米·霍华德(Jeremy Howard)的精彩但冗长的视频讲座 。
CNN不足之处CNN擅长解释视觉数据和非顺序数据 。 但是 , 他们并不能很好地解释时间信息 , 例如视频(本质上是单个图像序列)和文本块 。
文本中的实体提取是一个很好的例子 , 说明序列中不同部分的数据如何相互影响 。 对于实体 , 句子中实体之前和之后的词直接影响它们的分类方式 。 为了处理诸如句子之类的时间或顺序数据 , 我们必须使用旨在从序列中的过去数据和“未来数据”中学习的算法 。 幸运的是 , 递归神经网络正是这样做的 。
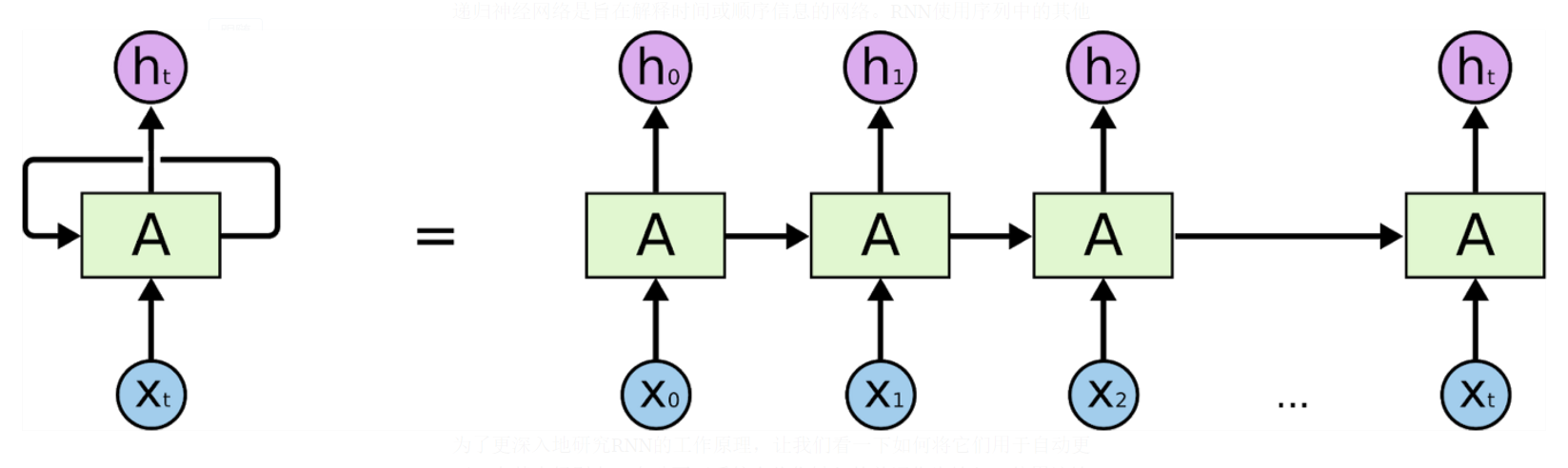
什么是递归神经网络?
递归神经网络结构
递归神经网络是旨在解释时间或顺序信息的网络 。 RNN使用序列中的其他数据点进行更好的预测 。 他们通过接受输入并重用序列中先前节点或后续节点的激活来影响输出来实现此目的 。 如前所述 , 这在诸如实体提取之类的任务中很重要 。 以以下文本为例:

相关内容

热门资讯

(... 最近很少发有用的文章,不是因为我偷懒,而是因为最近忙别的事情,操作项目比较少,所以实在不知道该写什么...
原... 我之前写过一篇广受好评的宽文:原生Android是不是太简陋了? 快来尝试这些应用程序(第 1 部分...
撩... 笔者从2005年开始经营淘宝店,从小红心到金皇冠。 这几年,我见证了身边的朋友从对网购的怀疑到今天熟...
U... ug编程,简单六步流程,让你学会三维编程‌‌简单的编程测量方法1、细心:提高检测能力,满足公司质量控...
工... 工程测量师是建筑、土木工程等领域的职业道路测量员软件教程,主要负责测量、测绘等工作。工作职责工程测量...
波... 如何在线获得波斯语翻译? 对于英文翻译,你在网上随便搜索一下,可能会找到很多方法。 然而,对于一些小...
在... 自从网络普及以来,我们就看到有人卖空气、卖“毛裤”之类的东西,这并不奇怪!比如高级QQ可以卖,游戏内...
8... 我们卡车朋友在买卡车的时候,通常都会问这是什么变速箱,有多少档位,有高低速之分。 看来这些是关于传输...
分... 软件介绍相信每个人有时都会遇到一些问题。 U盘或电脑硬盘被误删除或格式化。 有时硬盘会出现故障并出...
什... 许多类型的卷材,如管材、棒材、板材、H型钢等,都需要按照固定长度进行切割。 在线长度测量仪不仅可以检...
中... 中新网北京12月22日电 “微信”还是“格城”?藏族学者探讨藏语术语标准化意义作者 李寒雪 杨成辰沿...
如... 如果您计划去西藏旅行但您不懂藏语,那么您需要一个在线汉藏翻译器。 这将帮助您更好地了解当地文化和人民...
尺... 尺子在线测量仪器有哪些?试试这些测量仪器直尺在线测量仪器有哪些? 尺子在线测量仪器广泛应用于实验室、...
微... 日前微信红包坐庄软件,微信官方公众号发布公告称,由于每年春节前后网络赌博的高峰期,微信团队对此始终保...
轴... 在正常的设计过程中,尤其是轴类产品的设计中,都离不开轴承。 轴承的选型需要大量的人工计算和查阅轴承计...
大... 开幕背景:流域是一个相对独立的自然地理系统。 它以水系为纽带,将系统中的各种自然地理要素连接成一个不...
微... 原标题数据显示,微信月活跃用户数为5.49亿,支付用户约4亿。 虽然微信已经成为人们的一种生活方式,...
电... 电脑硬件测试工具有哪些?现在有很多主要测试CPU、硬盘、显卡、屏幕等的小工具,今天小编只介绍12个常...
全... 终身VIP:百度网盘存储路径素材分享——2. 英语资源——B5。 原版教材练习册—B5111顶级原创...
检... 不允许复制和粘贴。 进入PE系统时,该分区不能被删除或重新分区。 重新分区后重新启动,立即恢复原来的...