众所周知测皮肤年龄的软件,人类的寿命存在很大的异质性,这与同一年龄段的健康状况差异很大密切相关。 因此,寻找能够预测衰老(即寿命长度)的生物标志物将为建立健康的生活方式和预防衰老带来巨大的变化。

那么作为《生物王》的编辑,我以后也许可以兼职算命先生赚点钱。 。 。 当然,梦想从来都不是那么容易实现的。 回到现实,与衰老相关的指标并不容易找到。 这是因为影响寿命的因素太多,很难得到准确的判断指标。

过去最大的困境是:人作为个体,可以看作是来自不同维度的海量数据的堆叠,彼此影响、干扰。 如何寻找并筛选出最能体现个体差异的指标? 随着大数据时代的到来,科研人员开发了多种算法来挖掘生命科学领域的相关数据。 对于标记诊断模型,必须提到机器学习算法。
目前,市场上的机器学习算法种类繁多,每种算法都有自己的优点和缺点。 一般来说,有两种解决方案:1)使用不同的算法筛选权重最高的指标建立诊断模型(单一/惩罚),然后比较不同算法模型的诊断性能,选择预测效果最好的组; 2)选择其中一种算法进行指标筛选并建立模型,并验证其在其他算法中是否仍能表现良好。
然而,算法和衍生算法非常多。 如果我们一一尝试,什么时候才能全部阻止呢?
为了解决这个问题,保留科研人员亮丽的头发,美国索尔克生物研究所的研究团队开发了一种集成机器学习方法来挖掘成纤维细胞的衰老标记物,通过比较发现这种方法优于其他方法单一算法。 该工作发表于2018年《基因组生物学》,IF=14.028。

从人真皮成纤维细胞的转录组预测年龄
如果=14.028
那么,我们一起来看看,为什么这个算法这么好呢?
如果你想找到与衰老相关的标记物,就像把大象放进冰箱一样,必须一步一步来:
首先,你需要一个包括整个年龄跨度的研究人群,也就是说,这个队列必须包括从成人到婴儿的所有人。 这项工作招募了 133 名 1-94 岁健康人群和 10 名早衰综合症 (HGPS) 患者。
有了这个队列,接下来要解决的就是,取什么样本? 经过深思熟虑,研究人员选择皮肤组织的原因如下:首先,人类皮肤中的成纤维细胞增殖率较低,可能会保留随着年龄增长而发生的损伤; 其次,成纤维细胞表现出年龄依赖性的典型表达、表观基因组和转录组变化; 第三,来自衰老成纤维细胞的直接重编程神经元保留了与年龄相关的转录组特征和细胞缺陷; 第四,成纤维细胞系很容易通过非侵入性的皮肤活检获得。
因此,真皮成纤维细胞转录本有可能编码生物年龄的特征。 因此,研究人员从该队列中收集了皮肤成纤维细胞,然后进行了广泛的 RNA-seq 数据分析。
”
随着研究队列和样本以及大量数据的获得,真正的问题出现了:应该用什么方法来分析数据并获得衰老预测的生物标志物? 哪种方法更优越呢?
”
机器学习包括多种方法:线性回归、随机森林和弹性网络。 。 。 所以,有选择困难的朋友实在是没有选择。 然而,面对这些算法,研究人员却表现出了成年人应有的态度:孩子做选择,我全都要! 因此,他们开发了一种集成算法,而我们开发了一种集成机器学习方法,该方法使用基因表达数据构建模型来预测健康受试者的实际年龄。
在这种方法中,他们集成了多个分类器,每个分类器都经过不同年龄的离散化训练。 例如,分类器2将22-41岁的人分为一组,分类器3将23-42岁的人分为一组(相邻两个分类器组的年龄边界相差1岁)。
因此测皮肤年龄的软件,集成算法由n个不同的分类器组成,每个分类器都有不同的年龄池(不同定义的年龄边界),并且集成的所有分类器都在同一数据集上训练。
每个分类器根据受试者的基因表达水平预测受试者所属的年龄范围。 例如,分类器1投票该主体属于21-40岁群体,分类器2投票该主体属于22-41岁群体,分类器3投票该主体属于3-22岁群体团体。 每个分类者在预测的年龄范围内每年将获得1票,最终将计算累积票数。 得票最高者为预测年龄; 如果相同,则选择年龄最小的(上例中最终预测年龄为22岁)。
这种集成方法与每个分类器使用的算法类型无关,因此研究人员将分析结果与多个单一算法获得的结果进行了比较:


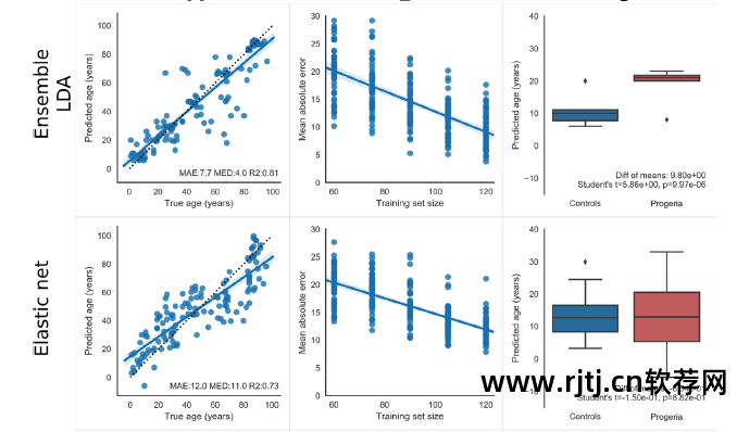
结果表明,这种线性判别分析 (LDA) 集成方法优于以前预测生物标志物年龄的算法,包括线性回归、支持向量机和弹性网络。 与单一算法相比,集成方法的真实年龄与预测年龄的中值绝对误差更小,R2更高:集成方法中值=4,R2=0.81,线性回归方法中值=10.0,R2=0.73 ,支持向量机中位数=10.2,R2=0.72,弹性网络中位数=11.0,R2=0.73。 这种集成算法比研究人员尝试过的其他算法(随机森林、k 最近邻和高斯朴素贝叶斯)表现出更好的性能。
随后,为了验证整合算法的实际预测效果,研究人员对10名2岁至8岁的早衰症患者进行了RNA-seq分析,平均年龄为5.5±2.4岁。 然后使用集成算法将早衰症患者的预期年龄与年龄匹配的对照进行比较。
整体算法始终预测早衰症患者的年龄比年龄匹配的对照组大,而其他单一算法则未能做到这一点。 这表明该技术是比其他方法更好的测量生物年龄的方法。
最后感谢这篇文章,让我看到了返老还童的可能——好好呵护自己的皮肤,我们是年轻人! 不多说了,小编继续码字赚钱买护肤品~~~
如果你想获得高效筛选标记的独特秘技,了解更多机器学习整合算法,一定要关注我们的线上新品发布会! 10月22日不见不散~~~~


微信公众号
中科新生活
多组学质谱解决方案的领导者
