
东华理工大学有会计学、财务管理、市场营销、日语、英语、广告学、法学、国际经济与贸易、汉语言文学、体育教育等专业,以下是具体名单一览表,供大家参考,由于专业设置可能会变动,正式填报时需要以学校最新公布的数据为准。
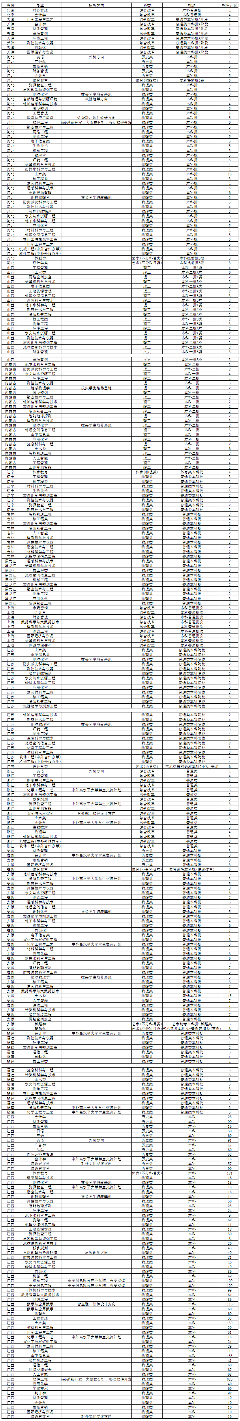
东华理工大学2024年本科招生计划分布表


东华理工大学(East China University of Technology),简称“东华理工”,主校区位于江西省南昌市,是中国核工业第一所高等学校,是江西省人民政府与国家国防科技工业局、自然资源部、中国核工业集团公司共建的具有地学和核科学特色,以理工为主,经、管、文、法、教、艺兼备的多科性大学,是教育部“卓越工程师教育培养计划”试点高校、教育部“111计划”入选高校,是博士学位授予单位,“中西部高校基础能力建设工程”支持高校、“新工科”研究与实践项目入选高校、全国国防教育特色学校,是中国人民海军士官选拔培训基地,中国核工业集团公司人才培养基地。
学校前身是创办于1956年的太谷地质学校。1958年迁址太原并更名为太原地质专科学校(本科);1959年迁至江西省抚州市,更名为抚州地质专科学校;1978 年名为抚州地质学院;1982年更名为华东地质学院;2002年更名为东华理工学院。2002年和2003年江西省国防科技工业学校与抚州师范专科学校先后并入。2007年更名为东华理工大学。
上一篇:南昌大学有哪些专业?
下一篇:江西理工大学有哪些专业?